Der undichte Eimer indischer Startups für Lebensmittellieferungen
Veröffentlicht: 2016-06-10[Dieser Beitrag beschreibt die mathematische Analyse der Dynamik und Einheitsökonomie der eigenständigen Lebensmittellieferunternehmen in Indien . Um beispielsweise zu monatlichen Berechnungen der „Verbrennungsrate“ zu gelangen (dh wie viel Geld die eigenständigen Lebensmittellieferunternehmen verlieren), haben wir unter anderem indienspezifische Zahlen für Liefergebühren und Arbeitskosten verwendet. Die mathematischen Modelle zu Bestelleingangsraten, Wartezeiten und deren Auswirkung auf Servicelevel gelten jedoch global].
„Auswärts essen“ ist out, „vor Ort bestellen“ ist in. In dieser neuen Convenience-Ökonomie lernt die Restaurantbranche, mit dieser Veränderung umzugehen, da eine Vielzahl von Startups neue Wege bieten, um Kunden Speisen auf Abruf zu liefern. Investitionen folgten vorhersehbar: Das Startup-Analyseunternehmen Tracxn zeigte, dass 31 Food-Tech-Startups in Indien im Jahr 2015 über 160 Millionen US-Dollar gesammelt haben, verglichen mit ~67 Millionen US-Dollar im Jahr 2014. Darüber hinaus sammelte ein Unternehmen allein in den ersten 15 Tagen des Jahres 2016 35 Millionen US-Dollar Finanzierung. Geld fließt definitiv in den Sektor, trotz Gerüchten über Unrentabilität und einigen jüngsten Schließungen und vielleicht einer Verlangsamung der Investitionen, die folgen könnten.
Lebensmittellieferdienste werden durch eine Reihe realer Faktoren eingeschränkt:
* Begrenzte Lieferzeit, da die Leute ihr Essen normalerweise innerhalb von 30–45 Minuten haben möchten, sodass 20–30 Minuten für die Lieferung verbleiben (bei einer Vorbereitungszeit von 10–15 Minuten)
* Unvorhersehbare Nachfragemuster , z. B. kann eine Person in derselben Woche bei verschiedenen Restaurants bestellen
* Hochkonzentrierte Spitzenzeiten bei der Bestellung um die Essenszeiten herum, z. B. Mittag – 15:00 Uhr zum Mittagessen und 20:00–23:00 Uhr zum Abendessen, was die Kapazitätsschätzung und das Management der Lieferflotte erschwert
* Unfähigkeit, äußere Umstände wie Verkehr, Wetter und täglich wechselnde Anforderungen zu beeinflussen
* Küchenbetrieb
Diese Faktoren machen es für Standalone-Food-Delivery-Startups (FD) schwierig, profitabel zu sein. Diese Startups brauchen enorme Effizienz, um die Herausforderungen der realen Welt zu meistern, die Kundenerwartungen zu erfüllen und profitabel zu werden, während sie gleichzeitig mit den Ausgaben für die interne Lieferung von Restaurants konkurrieren, die nicht sehr hoch sind (und eine diskretionäre Ausgabe sind).
Um der wachsenden Nachfrage nach solchen Lieferanfragen gerecht zu werden, haben viele Liefer-Startups darauf zurückgegriffen, eine große Anzahl von Bikern (in Indien auch „Field Executives“ oder FEs genannt) einzustellen, dh zu viel in die Anzahl der Mitarbeiter zu investieren, um ein Problem zu lösen Problem. Die Annahme ist, dass das Lebensmittelliefergeschäft, obwohl es derzeit unrentabel ist, anderen Lieferunternehmen (z. B. E-Commerce-Lieferung) ähneln und im Laufe der Zeit durch eine größere Bündelung von Bestellungen und einen größeren Betriebsumfang rentabel sein wird. In dieser Notiz untersuchen wir diese Annahmen mathematisch.
Ein typischer Tag im Leben eines FD-Unternehmens:
Betrachten Sie das folgende Szenario.
Ein beliebtes Start-up-Unternehmen für Lebensmittellieferungen in Süd-Delhi hat dank seiner jüngsten Berichterstattung in nationalen Zeitungen und im Fernsehen viele Bestellungen erhalten. Es erhält jetzt wöchentlich über 2000 Lieferaufträge für Lebensmittel, dh etwa 40 Bestellungen pro Stunde. Sobald eine Bestellung im System aufgegeben wird, weist es den nächstgelegenen verfügbaren FE zu, um das Restaurant zu erreichen, die Bestellung abzuholen und an den Kunden zu liefern. Es wird davon ausgegangen, dass das System so optimiert wurde, dass die Bestellung abholbereit ist, sobald die FE das Restaurant erreicht. Sobald die Bestellung geliefert wird, steht die FE wieder zur Verfügung, um einer anderen Bestellung zugeordnet zu werden. Der CEO des Start-ups hat Folgendes geschätzt:
- Ab dem Zeitpunkt der Zuweisung einer Bestellung an einen FE beträgt die durchschnittliche Zeit, die der FE benötigt, um die Bestellung abzuschließen, 30 Minuten, dh ein FE kann zum zugewiesenen Restaurant fahren, das Essen abholen und es dem Kunden in 30 Minuten liefern . Daher würde der gesunde Menschenverstand vorschlagen, dass ein FE zwei Bestellungen pro Stunde bei 100 % Auslastung liefern könnte.
- Um der Kundschaft gerecht zu werden, hat das Unternehmen 25 FEs eingestellt. Bei 100 % Auslastung sollten sie in der Lage sein, 50 Bestellungen pro Stunde auszuliefern, weit über dem Bedarf von 40 Bestellungen/Stunde.
Allerdings ist es nicht so einfach, wie sich das Unternehmen zunächst vorgestellt hatte. In der vergangenen Woche waren sie gezwungen, die Lieferung zu verzögern, in letzter Minute zu sehr hohen Kosten zusätzliche Mitarbeiter einzustellen und nahmen gelegentlich Anrufe von verärgerten Kunden entgegen.
Was ist hier passiert?
Rentabilitätsparameter im Lebensmittelliefergeschäft:
Um die oben diskutierte Situation zu analysieren, lassen Sie uns den gesamten Prozess mathematisch modellieren. Die folgenden Faktoren sind für jedes FD-Geschäft wichtig, da sie die Parameter für das mathematische Modell bilden, nach dem das Geschäft betrieben werden könnte:
* Bestellankunftsrate , dh Anzahl der Kundenbestellungen pro Stunde,

Abbildung 1: Unterschiedliche Ankunftsrate für Kundenbestellungen
* Lieferservicezeit , dh die durchschnittliche Zeit, die für die Lieferung einer Bestellung benötigt wird, und
* Anzahl der zu einem bestimmten Zeitpunkt verfügbaren FEs .
Datenanalyse:
Wir haben historische Daten in Bezug auf Ankunftsraten und Servicezeiten für FD-Unternehmen analysiert und die folgenden Beobachtungen gemacht:
- Bestelleingangsrate: Die Bestellungen kommen nicht mit einer einheitlichen Rate an. In der Realität kann die Kundenankunftsrate in einem Restaurant so aussehen (Abb. 1):
Abbildung 1: Unterschiedliche Ankunftsrate für Kundenbestellungen
Zur Modellierung der Auftragseingänge gehen wir von einem Markov-Prozess aus. Nach dem Markov-Prozess ist die Anzahl potenzieller Neukunden ist unabhängig von der Anzahl der bereits in der Warteschlange wartenden Kunden. Ein bekannter Markov-Prozess, der häufig verwendet wird, um die Ankunftsrate von Bestellungen in einem Geschäft wie dem Lebensmittelliefergeschäft zu modellieren, ist der Poisson-Prozess. Gemäß diesem Verfahren wird die Anzahl der stündlich neu hinzukommenden Kunden durch eine Poisson-Verteilung angegeben (siehe Anhang 1 für Details). Der wichtigste Eingabeparameter, der zum Definieren einer Poisson-Verteilung erforderlich ist, ist die durchschnittliche Ankunftsrate pro Stunde (λ), die für das oben diskutierte Beispiel gleich 40 Bestellungen/Stunde ist.
- Delivery Service Rate: Definiert als die durchschnittliche Anzahl von Kunden, die in einer Stunde bedient werden. Dies hängt von der Zeit ab, die zum Servieren einer einzelnen Bestellung benötigt wird, die aufgrund unvorhersehbarer Faktoren wie Verkehrsbedingungen, Wartezeiten im Restaurant/Kunden usw. eine Zufallsvariable ist. Während wir dies schreiben, sammeln wir erste Daten von FD und es scheint, dass die Servicezeiten einer Gamma-Verteilung mit einem Mittelwert von etwa 30 Minuten (dh durchschnittlich 2 Bestellungen pro Stunde) und einer Standardabweichung von 16,2 Minuten folgen (siehe Abbildung 2). Diese Servicezeiten umfassen die Zeit, die ein FE benötigt, um zum zugewiesenen Restaurant zu fahren, das Essen abzuholen und es dem Kunden zu liefern.

Abb. 2: Servicezeiten folgen einer Gamma-Verteilung mit einem Mittelwert von ~30 Minuten und einer Standardabweichung von 16,2 Minuten
Aufgrund der obigen Beobachtungen ist es leicht zu verstehen, warum sich Warteschlangen und Wartezeiten für das Lebensmittelliefergeschäft aufbauen. Wenn angenommen wird, dass die Ankunftsraten und Servicezeiten einheitlich sind, dh alle 1,5 Minuten kommt eine Bestellung an und es dauert genau 30 Minuten, um eine Bestellung zu bedienen, dann sind bei mehr als 30/1,5 ~ 20 FEs alle Bestellungen sofort verarbeitet, ohne dass sich Warteschlangen bilden. Aufgrund der Variabilität der Ankunfts-/Serviceraten ist jedoch ein wartefreier Lieferservice nicht realisierbar.
Warteschlangensystem:
Um nun das Verhalten der sich bildenden Warteschlangen zu analysieren, entwickeln wir auf der Grundlage der beobachteten Daten ein Warteschlangenmodell, das uns hilft, die durchschnittliche Zeit abzuschätzen, die ein Kunde warten muss, bevor seine Bestellung geliefert wird. Beachten Sie, dass die Wartezeit für einen Kunden definiert ist als die Summe aus (i) der Zeit, in der sich die Bestellung in der Warteschlange befindet, d Auftragslieferungen) und (ii) die Bearbeitungszeit für den Auftrag (die einer Gamma-Verteilung folgt).
Mathematisch gesehen fällt das Problem der Zuweisung von Servern zu Kunden in eine Klasse von Problemen, die als „Warteschlangenproblem“ bekannt sind – wörtlich, wie die Kunden kommen und sich in unregelmäßigen Abständen in eine Warteschlange einreihen und wie sie bedient werden. Die Warteschlangentheorie ist keine hypothetische Situation: Warteschlangen in Supermärkten oder Bushaltestellen oder die Wartezeit, bis eine Person antwortet, wenn Sie eine Fluggesellschaft anrufen, folgen alle der Warteschlangentheorie.
Ein Warteschlangenmodell für unser Szenario wird die folgende Struktur haben (Abb. 3):

Abbildung 3: Typischer Lebensmittellieferprozess
Für dich empfohlen:
- Eingehende Bestellungen: Bestellungen kommen zufällig an und die Anzahl der Bestellungen pro Stunde folgt einer Poisson-Verteilung mit einem Mittelwert λ . Das Warteschlangensystem wird für unterschiedliche Werte von λ untersucht.
- Warteschlange: Die Warteschlange folgt einer FIFO-Prioritätsregel (First in First Out) und es wird davon ausgegangen, dass sie eine unbegrenzte Kapazität hat, dh das Lebensmittellieferunternehmen wird eine Bestellung nicht ablehnen.
- Service: Der Service des Warteschlangensystems ist abhängig von der Anzahl der FEs, den Serviceraten und der Auftragsaggregationsrate:
- Die Anzahl der FEs: Wir gehen davon aus, dass sie alle gleich gut sind und die gleiche Zeit für einen Auftragsabschluss benötigen.
- Serviceraten: Wir wissen, dass die Servicezeiten variabel sind und einer Gammaverteilung mit einem Mittelwert von 30 Minuten und einer Standardabweichung von 16,2 Minuten folgen. Somit kann die mittlere Servicerate als µ = 2 berechnet werden.
- Auftragsaggregationsrate: Definiert als der Bruchteil aller Aufträge, die zu zwei Sendungen aggregiert werden, z. B. wenn zwei Aufträge aggregiert werden, kann die FE beide in einer einzigen Fahrt liefern. Wenn die Auftragsaggregationsrate hoch ist, werden auch die Serviceraten verbessert. Es kann leicht abgeleitet werden, dass, wenn ein Bruchteil x aller Aufträge zu Paaren zusammengefasst wird, die Servicerate µ mit einem Faktor von multipliziert wird


- Aktuelle Daten deuten darauf hin, dass weniger als 5 % der Bestellungen aggregiert werden, was bedeutet, dass die aktualisierte Servicerate bei µ = 2,05 liegt.
Mathematische Beschreibung des vorgeschlagenen Warteschlangenmodells:
Das obige Warteschlangenmodell kann als M/G/m-Modell in der Standard-Warteschlangennomenklatur dargestellt werden. „M“ im ersten Feld bedeutet, dass für die Ankunftsraten ein Markov-Prozess vorhanden ist; „G“ im zweiten Feld bedeutet, dass eine allgemeine Verteilung (in unserem Fall Gamma) verwendet wird, um die Servicezeiten zu modellieren; „m“ im dritten Feld bedeutet, dass mehrere Server (in unserem Fall FEs) im Warteschlangenmodell verwendet werden.
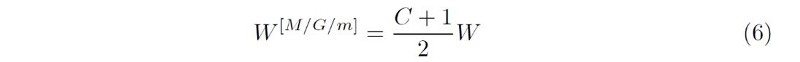
Dieses Modell ist ein etwas exotisches Warteschlangenmodell mit sehr wenigen analytischen Ergebnissen, die in der Warteschlangenliteratur verfügbar sind. Gemäß der Forschungsarbeit von Lee und Longton (1959) kann die mittlere Wartezeit für das M/G/m-Modell angenähert werden, indem ein Faktor verwendet wird, um die mittlere Wartezeit in einer M/M/m-Warteschlange anzupassen. Das letztere Modell geht davon aus, dass die Servicezeiten einer Exponentialverteilung folgen und gehört zu den am besten untersuchten Warteschlangenmodellen in der Literatur. Die unten aufgeführten Formeln stellen die Schlüsselmetriken des M/M/m-Warteschlangensystems dar und können leicht abgeleitet werden:

Schließlich kann die mittlere Wartezeit für das M/G/m-Modell wie folgt berechnet werden:
![]()
wobei C der Variationskoeffizient ist (Verhältnis von Standardabweichung und Mittelwert, gleich 0,54 für unsere Daten) und W die mittlere Wartezeit ist, wie sie durch Formel (5) ermittelt wird.
Rechenergebnisse: Wartezeiten steigen nicht linear
Unter Verwendung der Formel (6) für die durchschnittlich im System verbrachte Zeit können wir die durchschnittliche Zeit berechnen, die benötigt wird, um einen Auftrag abzuschließen (Servicezeit + Wartezeit) für unterschiedliche Ankunftsraten und die durchschnittliche Auslastung des Systems (verwenden Sie Formel ( 1)). Es scheint, dass die Wartezeit der Kunden nicht linear mit den Ankunftsraten steigt. Tabelle 1 zeigt die Ergebnisse für eine feste Anzahl von FEs und mehrere Ankunftsraten.

Tabelle 1: Auftragseingangsrate, Auslastung und Kundenwartezeit variieren nicht linear
Dies ist kontraintuitiv : Man würde meinen, dass sich bei einer Änderung eines Parameters um etwa 25 % (in diesem Fall eine Erhöhung der Ankunftsrate von 40 auf 50) andere zugehörige Parameter, wie z. B. die Wartezeit, auf ähnliche Weise ändern würden, d. h. wahrscheinlich etwa 25% oder so. Stattdessen macht die Unregelmäßigkeit in der Ankunftsrate das System sehr instabil und erhöht die Wartezeit überproportional, in diesem Fall um 134 %.

Abbildung 4: In diesem Szenario steigt die durchschnittliche Wartezeit von 23 Minuten auf 54 Minuten, indem die Anzahl der Kunden von 40 auf 50 erhöht wird, dh nur eine Änderung von 25 %
Die Auswirkungen auf die GuV:
Tabelle 2 zeigt FE-Gehaltsbänder für zwei Arten von Szenarien, denen wir begegnen. In den meisten Städten betragen die „Cost to Company (CTC)“ für die FEs Rs. 15.000 pro Monat. In einigen Teilen teurerer Metropolregionen wie Bangalore und Delhi steigen die Gehälter jetzt in Richtung Rs. 18.000 pro Monat. Beachten Sie, dass ein FD-Unternehmen erhebliche andere Ausgaben hat, wie z. B. Kraftstoff, Fahrradverleih, Unternehmensgemeinkosten usw.

Tabelle 2. Kosten/FE für verschiedene Gehaltsgruppen
Es ist leicht verständlich, dass sich die durchschnittliche Wartezeit pro Bestellung verringert, wenn wir mehr FEs vor Ort haben. Wir versprechen derzeit eine Bearbeitungszeit (TAT) von etwa 45 Minuten. Um dieses Ziel dauerhaft zu erreichen, sollte die durchschnittliche TAT bei etwa 30–35 Minuten liegen, da die Standardabweichung der Servicezeiten etwa 16 Minuten beträgt.
Lassen Sie uns sehen, wie viele FEs erforderlich sind, um eine durchschnittliche Wartezeit von etwa 30–35 Minuten für unterschiedliche Ankunftsraten aufrechtzuerhalten (siehe Tabelle 3). Für jede Ankunftsrate zeigen wir auch, was passiert, wenn wir nur eine FE weniger als das empfohlene Niveau haben. Es stellt sich heraus, dass sich die mittlere Wartezeit auf etwa 55–60 Minuten erhöht. Wenn wir ein weiteres FE aus dem System wegnehmen, wird das Liefersystem undurchführbar, dh die Ankunftsrate wird größer als die Nettodienstrate. Diese Berechnungen werden unter Verwendung von Formel (6) durchgeführt. Tabelle 3 enthält auch den Mindestbetrag, der pro Bestellung berechnet werden sollte, um in jedem Fall Rentabilität zu erzielen.

Tabelle 3: Mindestanzahl von FEs, die für eine bestimmte Ankunftsrate erforderlich sind, und die entsprechenden Umsatzanforderungen pro Bestellung (in Rs.); Λ steht für die mittlere Ankunftsrate pro Stunde
Beachten Sie, dass bei einer durchschnittlichen Wartezeit von etwa 30 Minuten (55 Minuten) der Mindestumsatz pro Bestellung bei etwa Rs liegt. 66 (Rs. 63)/Bestellung bei Mitarbeitern von Band A und um die Rs. 79 (Rs. 76)/pro Bestellung für Mitarbeiter von Band B. In Wirklichkeit erlaubt uns der Markt nicht, mehr als Rs zu verlangen. 50 pro Bestellung, wodurch bei jeder Bestellung Verluste entstehen, selbst wenn wir eine durchschnittliche Wartezeit von 55–60 Minuten zulassen, was möglicherweise keine akzeptable Bearbeitungszeit für Lebensmittellieferaufträge ist.
Lassen Sie uns nun unsere Berechnungen hochskalieren und die „Verbrennungsrate“ berechnen, unter der Annahme, dass wir eine durchschnittliche Wartezeit von etwa 30–35 Minuten anstreben und der Umsatz pro Bestellung Rs beträgt. 50. Tabelle 4 zeigt die „Verbrennungsrate“ unter zwei Szenarien:

Tabelle 4: Burn-Rate für ein eigenständiges FD-Unternehmen
Schlüsselannahmen:
Beachten Sie, dass eine Reihe wichtiger Annahmen getroffen wurden, um die in diesem Artikel vorgestellten Berechnungen durchzuführen. Alle diese Annahmen begünstigen das FD-Geschäft, sodass die Ergebnisse der Berechnungen als optimistische Einschätzung der tatsächlichen Situation angesehen werden sollten. Die wichtigsten Annahmen sind:
- Die durchschnittliche Ankunftsrate bleibt den ganzen Tag über konstant – dies ist höchst unwahrscheinlich, da die Bestellrate in Wirklichkeit nur zu den Essenszeiten ihren Höhepunkt erreicht. Beachten Sie, dass die im oben diskutierten Beispiel erwähnte mittlere Ankunftsrate von λ = 40 nur für die Essenszeiten galt.
- Das System wurde so optimiert, dass die Bestellung abholbereit ist, sobald die FE das Restaurant erreicht. In der Realität ist dies äußerst schwer zu erreichen, und es wird oft beobachtet, dass der FE viel Zeit (im Durchschnitt 8 Minuten) im Restaurant verliert, während er darauf wartet, dass das Essen fertig ist. Für unsere Berechnungen haben wir diese Wartezeit mit nominal 2 Minuten angenommen, da man davon ausgeht, dass diese Wartezeit durch eine bessere Ressourcenplanung vermieden werden kann.
- Wenn zwei oder mehr Bestellungen aggregiert werden, dann braucht ein FE die gleiche Zeit, um die aggregierte Bestellung zu liefern, die es braucht, um eine einzelne Bestellung zu liefern.
Fazit:
Aus unserer Analyse geht klar hervor, dass das Lebensmittelliefergeschäft äußerst instabil ist, vor allem weil die Ankunfts-/Serviceraten von Bestellungen nicht einheitlich sind. Dies führt zu großen Schwankungen in der Lieferzeit sowie in der Auslastung der FEs mit hohen Chancen auf Unrentabilität.
In der derzeitigen Größenordnung ist die Auftragsdichte nicht sehr dicht, was die Zusammenfassung von Aufträgen erschwert und dazu führt, dass die meisten Aufträge „Single Pick, Single Drop“ sind. Unsere eigenen internen Daten deuten darauf hin, dass nur etwa 4–5 % der Bestellungen aggregiert werden, was sich kaum auf die Rentabilität des FD-Modells auswirkt. Wenn diese Zahl jedoch auf etwa 55 % ansteigt, deuten Berechnungen darauf hin, dass die Rentabilität erreicht werden kann, sofern alle anderen Annahmen weiterhin gelten.
Es gibt andere Möglichkeiten, profitabel zu sein, zum Beispiel durch die übergreifende Nutzung von Ressourcen oder mit einem anderen Geschäftsmodell. Ein Unternehmen mit mehreren Geschäftsbereichen wie Lebensmittel- und Paketzustellung könnte die Ressourcen übergreifend nutzen, um ein profitables Geschäftsmodell aufzubauen. Beispielsweise kann ein Paketzustellunternehmen die FEs für die Paketzustellung 9–12, einige für die Lebensmittelzustellung 12–3, die Paketzustellung 3–6 und einige für die Lebensmittelzustellung in der Nacht verwenden.
Eine zweite Alternative ist ein „Food Club“-Modell mit begrenzter Speisekarte und geslotter Lieferzeit. Dadurch werden die Unsicherheiten bei der Ankunftsrate aus der Gleichung herausgenommen, was zu einer hohen FE-Auslastung führt.
Eine dritte Alternative ist ein „Hauslieferanten“-Modell, bei dem ein FE auch für Restaurantaufgaben (z. B. das Servieren von Speisen) eingesetzt wird, um die Gesamtkosten der Lieferung zu senken und die Auslastung zu verbessern. In Wirklichkeit arbeiten die meisten indischen Restaurants intern an diesem Modell, daher könnte es sich lohnen, die Wirtschaftlichkeit desselben zu verstehen.
Ein viertes mögliches Modell besteht darin, dass die Dichte der Benutzer hoch ist (z. B. Koramangala im Großraum Bangalore) und Lebensmittel aus einem vorab ausgewählten Menü innerhalb sehr kurzer Zeit geliefert werden, ähnlich wie UberEATS experimentiert.
Die Wirtschaftlichkeit der eigenständigen Essenslieferung liegt in der Wissenschaft der Anreize. Wenn die aktuellen Liefertarife der bestehenden FD-Cos deutlich unter den intern getragenen Kosten liegen, wird der Unternehmer schließlich schließen. Steigt der Preis hingegen stark genug, wird das Restaurant wahrscheinlich auf ein hauseigenes Modell umsteigen.
Anhang 1:
Verstehe die Poisson-Verteilung:
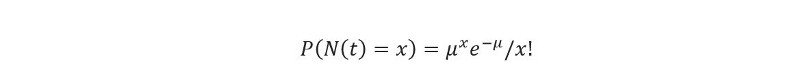
Ein Poisson-Prozess stellt diskrete Ereignisse dar, wie das Eintreffen von Kunden oder Telefonanrufe in einer Vermittlungsstelle oder einem Callcenter. Wie in Abb. 5 unten gezeigt, ist N(t) = Anzahl der Ankünfte im Zeitintervall (0,t) eine Zufallsvariable, die der Poisson-Verteilung folgt.

Abbildung 5: Anzahl Ankünfte im Zeitintervall (0, t)
Mathematisch kann die Wahrscheinlichkeit, N (t) = x Ankünfte in einem Zeitfenster (0, t) zu erhalten, angegeben werden durch:

wobei µ die durchschnittliche Anzahl der Ankünfte im Zeitfenster (0,t) ist.
Die Zwischenankunftszeiten sind unabhängig und folgen einer Exponentialverteilung mit einer mittleren Zwischenankunftszeit (1/µ), wobei µ die Ankunftsrate pro Zeiteinheit ist. Beispiel: Für eine Ankunftsrate von 40 Kunden pro Stunde ist µ = 40. Abbildung 6 demonstriert dies grafisch.

Abbildung 6: Zwischenankunftszeiten sind unabhängig und folgen einer Exponentialverteilung
Der Epilog:
Das Team, das an dieser Stelle gearbeitet hat, besteht aus Dr. Santanu Bhattacharya, Dr. Kabir Rustogi, Suvayu Ali (Doktorand) und Snigdha Gupta, mit aktiver Unterstützung von unserem CEO Sahil Barua und CTO Kapil Bharati. Zur vollständigen Offenlegung: Delhivery ist Indiens führender Drittlogistikanbieter. Wir arbeiten mit vielen FD-Unternehmen zusammen, um ihnen zu helfen, effizienter zu werden.
Die Autoren möchten zahlreichen Freunden danken, die das Papier überprüft und wertvolles Feedback gegeben haben, darunter Nick Berry, Data Scientist bei Facebook, Abhi Dhall von Multiples Equity, Ashok Tilotia von Kotak Security und Haresh Chawla vom India Value Fund.
Verweise:
- AM Lee und PA Longton, „Warteschlangenprozesse im Zusammenhang mit dem Einchecken von Fluggästen“, Oper. Auflösung Quart. 10: 56–71 ( 1959 )
[Zuerst auf Medium veröffentlicht.]






